Exam
Chemistry
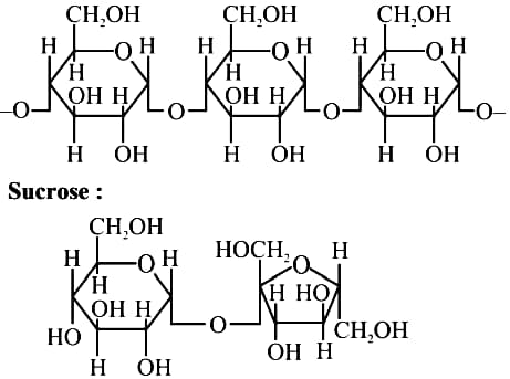
Number of compounds from the following which will not produce orange red precipitate with Benedict solution is ___________.
Glucose, maltose, sucrose, ribose, 2-deoxyribose, amylose, lactose
Select an option to instantly check whether it is correct or wrong.

Both Amylose and Sucrose does not give Benedict's test.

