Virat Batch 2027
Champion Batch 2028
Divine JEE 1-on-1
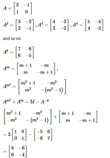
=m2+1+m+1=8 =\mathrm{m}^2+1+\mathrm{m}+1=8 \\ =m2+1+m+1=8
=m2+m−6=0 ⇒ m=−3,2 =\mathrm{m}^2+\mathrm{m}-6=0 \Rightarrow \mathrm{~m}=-3,2 \\ =m2+m−6=0 ⇒ m=−3,2
n( s)=2 \mathrm{n}(\mathrm{~s})=2 n( s)=2
Select an option to instantly check whether it is correct or wrong.
Learn on the go with our mobile app. Access courses, live classes, and study materials anytime, anywhere.
Empowering students to achieve their IIT dreams through personalized learning and expert guidance.
Copyright © 2026 Divine JEE. All Rights Reserved.