JEE Mains | 2026-01-21 | Shift 2
Select an option to instantly check whether it is correct or wrong.
| List-I | List-II |
|---|---|
| Pair of Compounds | Type of Isomers |
| A. 2-Methylpropene and but-1-ene | I. Stereoisomers |
| B. Cis-but-2-ene and trans-but-2-ene | II. Position isomers |
| C. 2-Butanol and diethyl ether | III. Chain isomers |
| D. But-1-ene and but-2-ene | IV. Functional group isomers |
Select an option to instantly check whether it is correct or wrong.
Select an option to instantly check whether it is correct or wrong.
Select an option to instantly check whether it is correct or wrong.
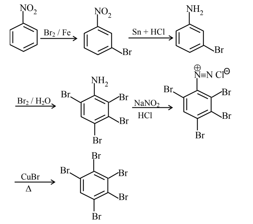
Consider the above sequence of reactions. The number of bromine atom(s) in the final product (P) will beSelect an option to instantly check whether it is correct or wrong.
Select an option to instantly check whether it is correct or wrong.
Select an option to instantly check whether it is correct or wrong.
Select an option to instantly check whether it is correct or wrong.
Statement - II : Compound (Y), shown below, has two carbons with hybridization, one carbon with and one carbon with sp hybridization
In the light of the above statements, choose the correct answer from the options given below :Select an option to instantly check whether it is correct or wrong.
Select an option to instantly check whether it is correct or wrong.
Select an option to instantly check whether it is correct or wrong.
Select an option to instantly check whether it is correct or wrong.

Select an option to instantly check whether it is correct or wrong.
Select an option to instantly check whether it is correct or wrong.
Select an option to instantly check whether it is correct or wrong.
Select an option to instantly check whether it is correct or wrong.




Select an option to instantly check whether it is correct or wrong.
Select an option to instantly check whether it is correct or wrong.
Select an option to instantly check whether it is correct or wrong.
Select an option to instantly check whether it is correct or wrong.
Select an option to instantly check whether it is correct or wrong.
Select an option to instantly check whether it is correct or wrong.
Select an option to instantly check whether it is correct or wrong.
Select an option to instantly check whether it is correct or wrong.
Select an option to instantly check whether it is correct or wrong.
Select an option to instantly check whether it is correct or wrong.
Select an option to instantly check whether it is correct or wrong.
Select an option to instantly check whether it is correct or wrong.
Select an option to instantly check whether it is correct or wrong.
Select an option to instantly check whether it is correct or wrong.
Select an option to instantly check whether it is correct or wrong.
Select an option to instantly check whether it is correct or wrong.
Select an option to instantly check whether it is correct or wrong.
Select an option to instantly check whether it is correct or wrong.
Select an option to instantly check whether it is correct or wrong.
Select an option to instantly check whether it is correct or wrong.
Select an option to instantly check whether it is correct or wrong.
Select an option to instantly check whether it is correct or wrong.
Select an option to instantly check whether it is correct or wrong.
Select an option to instantly check whether it is correct or wrong.
Select an option to instantly check whether it is correct or wrong.
Select an option to instantly check whether it is correct or wrong.
Select an option to instantly check whether it is correct or wrong.
Select an option to instantly check whether it is correct or wrong.
Select an option to instantly check whether it is correct or wrong.
Select an option to instantly check whether it is correct or wrong.
Select an option to instantly check whether it is correct or wrong.
Select an option to instantly check whether it is correct or wrong.
Select an option to instantly check whether it is correct or wrong.
Select an option to instantly check whether it is correct or wrong.

Select an option to instantly check whether it is correct or wrong.
Select an option to instantly check whether it is correct or wrong.
Select an option to instantly check whether it is correct or wrong.
Select an option to instantly check whether it is correct or wrong.
Select an option to instantly check whether it is correct or wrong.

Select an option to instantly check whether it is correct or wrong.
Select an option to instantly check whether it is correct or wrong.
Select an option to instantly check whether it is correct or wrong.
Select an option to instantly check whether it is correct or wrong.
Select an option to instantly check whether it is correct or wrong.

Select an option to instantly check whether it is correct or wrong.
Select an option to instantly check whether it is correct or wrong.
If refractive index of the material of prism is , the angle of prism is.Select an option to instantly check whether it is correct or wrong.
Select an option to instantly check whether it is correct or wrong.

Select an option to instantly check whether it is correct or wrong.
Select an option to instantly check whether it is correct or wrong.

Select an option to instantly check whether it is correct or wrong.
Select an option to instantly check whether it is correct or wrong.
Select an option to instantly check whether it is correct or wrong.
Select an option to instantly check whether it is correct or wrong.
Select an option to instantly check whether it is correct or wrong.
Select an option to instantly check whether it is correct or wrong.
Select an option to instantly check whether it is correct or wrong.
Select an option to instantly check whether it is correct or wrong.
Select an option to instantly check whether it is correct or wrong.




∴ Number of unpaired electrons
Number of Br atom in major product
Two chiral centre and due to presence of -COOH compound dissolves in 
